Using a self boring expansion pressuremeter to measure the permeability of soils
Background
This note describes the use of a standard self boring expansion pressuremeter of the Cambridge design to measure the coefficient of permeability of soils. The advantage of self boring a cavity is the minimal disturbance caused to the soil and the consequent likelihood that permeability parameters derived from the test will be representative of the insitu state. Testing can be carried out significantly faster than laboratory methods will allow.
There are self boring tools developed specifically for determining permeability but it is obviously desirable to derive the coefficient of permeability as one of a number of fundamental soil properties from a single self boring episode. An interesting aspect of the procedure described below is the ability to vary the geometry of the test and hence to infer vertical as well as lateral permeability coefficients.
Results of a field trial in Gault clay using the proposed method are given.
Present practice
Several models of self boring permeameter exist and are described in the literature. Probably the best-known reference is Chandler et al (1990) where a probe made by Roctest Ltd. is used. A rigid porous sleeve covers the central part of this instrument. Once in position in the ground, water is introduced into the space behind the inner wall of the porous sleeve causing a radial flow out wards into the formation.
The analysis used is derived from Darcy’s flow rule:
...[1]
$$k=Q\infty /\mathit{FH}$$
Where $k$ is the coefficient of permeability
$Q\infty $ is the flow under steady state conditions
$H$ is the applied head of water
$F$ is a shape factor depending on geometry and the ratio of the horizontal to vertical permeability
It is usual to make the head or the flow a constant when carrying out permeability tests. Chandler et al uses a constant head arrangement and measures the changing flow. In an impermeable material the flows are small and the head relatively large so it makes sense to keep the flow constant.
The proposed method
The self boring pressuremeter (SBP) is built around a hollow tube about 1.5 metres long. It has a constant external diameter of 83mm and in operation resembles a miniature tunnelling machine. There is a sharp internally tapered shoe at the foot, and a small cutting head rotates inside this shoe. The probe itself is connected by a two-part drill string to the surface. The outer part is a casing used to transmit a pushing force to the probe. The inner part is a rotating rod turning the cutter. Cutting fluid (usually water) passes down the inner rod and the cuttings themselves are transported to the surface in the annulus between the outside of the drill rod and the inside of the casing. No water passes around the outside of the instrument and the consequence of this boring method is a hole in the ground that is an exact fit to the pressuremeter.
In the proposed method a conventional SBP carries out about 1.5 metres of self boring in a cohesive material. The probe is then pulled back a short distance, leaving a pocket in the ground. Because of the precision of the boring the top end of the pocket is sealed by the body of the pressuremeter. There is a passage to the surface via the casing, and water can be passed through this casing and so load the material surrounding the pocket. The arrangement is sketched in figure 1.
Fig. 1 The layout of the permeameter trial using a standard SBP
Hvorslev (1949) gives a solution for this arrangement, analogous to a well point filter in a uniform soil:
...[2]
$$k_h=\frac{\mathit{Q.ln}\left[\frac{\mathit{mL}} D+\sqrt{1+(\frac{\mathit{mL}} D)^2}\right]}{2\pi \mathit{LH}_c}$$
Where $k_h$ is the permeability in the horizontal direction in cm/second
$Q$ is the flow in ml/second
$L$ is the length of sample in cm
$D$ is the diameter of the pocket and is 8.31cm for the SBP
$H_c$ is constant piezo head (cm)
$m$ is a transformation ratio dependent on the ratio of the horizontal to vertical permeability
The shape factor $F$ in equation [1] combines $L$, $D$ and $m$.
There is an interesting second case that can be tested with the self boring probe. If the probe is not retracted at all then the physical arrangement is a flush bottom in a uniform soil. The solution for this, also from Hvorslev (1949) is:
...[3]
$$k_m=Q/2.75\mathit{DH}_c$$
where $k_m$ is the mean coefficient of permeability $\sqrt{k_hk_v}$
In the ideal world testing the flush bottom case (a zero length pocket) and a case where $L$ has some length allows $k_h$ and $k_v$ to be derived. An alternative strategy is to vary $L$ and repeat the tests, modifying $m$ for a best fit to the results.
Practical considerations
It is vital for the success of the method that the drill string and instrument be pressure tight so all flow is into the formation. Before carrying out the test in the ground the casing and probe were assembled on the surface, all joints sealed with PTFE thread tape. The system was pressurised with 1000kPa of water pressure and no leaks were discovered. These same parts were then used in the experiment. During the first run of the experiment a leaky connector was detected, this being obvious from the observed response. Once fixed, no further problems were encountered. It is not possible to be certain the system was leak proof but the results seem to justify the assumption.
The control system on the surface consists of a pulse driven stepper motor driving a 30ml syringe. The pulse rate governs the flow and is digitally controlled. A pressure transducer is connected to the syringe and the output of this is logged against time. It is straightforward then to identify a pressure plateau where steady state conditions apply.
Because there is a column of water from above ground level down to the foot of the pocket there is a constant head of water in addition to the pressure measured by the transducer. In fact as fig.1 suggests the transducer is slightly below the highest point in the system and always reads a small pressure even with the constant flow system turned off. The analysis is concerned only with changes in head.
Filling and de-airing the system is straightforward. Applying a small pressure to the header tank accelerates the process. Apart from a pressure line linking the syringe to the drill string the water circuit runs inside 40mm bore steel tube, so keeping the line unblocked is not a problem and there is little compliance in the line.
The water lines for the control system pass through a panel containing a pressure gauge and a system of valves. This is necessary to allow the circuit to the instrument to be locked whilst the syringe is refilled.
Apart from the constant flow delivery system the only special part necessary to allow a standard SBP to be used in this manner is a connector at the top of the casing column for the water circuit.
The site
The location for the experiment is a field behind Rectory Farm, Little Eversden, approximately 10 kilometres south of Cambridge. It has been used on occasion to make pressuremeter tests for demonstration and experimental purposes (Dalton & Hawkins 1982 for example). The material for the test is Gault clay and the bottom of the pocket for the trial was 13 metres below ground level. The Gault is a stiff to very stiff dark blue/grey fissured silty clay. SBP tests in nearby positions suggest at this depthis about 2, undrained shear strength is about 180kPa and shear modulus at shear strain levels likely to induce failure is >25MPa. Unfortunately there are no index data at the present time for this site but the material is believed to be similar to the Gault at the nearby High Cross, Madingley site. Index properties for that site suggest the moisture content is 29%, plastic limit is 30% and the plasticity index is about 45%. The water table is 1.5metres below ground level and ambient pore water pressure is hydrostatic with depth down to at least 15 metres.
In November 1997 a column of 8 inch water well casing had been hammered into the ground by a percussion rig to a depth of 4 metres. The water well casing provides a good anchorage for the SBP system and over the intervening year a number of SBP tests had taken the borehole down to 11.5 metres. For the trial, 1.5 metres of self boring took the borehole down to 13 metres.
The order of events are given in table 1, and the results obtained in table 2.
Table 1 – Calendar of events
|
Date |
Activity and remarks |
|---|---|
|
14 Oct |
Self boring 11.5 to 13.0 metres (measured to the foot of the probe) |
|
14 Oct |
Test zero length pocket, flow rates 3.2/16/32/240 ml/hour. |
|
14 Oct |
Raise probe 0.1 metres. Flow rates 3.2/16/32/240 ml/hour. Realised connector was leaking, so fixed and tried again to record pressure for 240ml flow rate. Failed to do so before end of the day. |
|
15 Oct |
Flow rates 1.6/8/16/32 ml/hour. At this point set 3.2ml again and check pressure. All pressures are much higher now leak is fixed, so zero length pocket data probably invalid. |
|
15 Oct |
Pull probe up to give 0.2m pocket. Record 3.2/8 ml/hour rates. |
|
16 Oct |
Failed in attempt to reach a steady state pressure at 16ml/hour flow. |
|
17-18 Oct |
No work over the weekend. |
|
19 Oct |
Managed to achieve 16 and 32ml/hour flow rates |
|
19 Oct |
Pulled probe up to make 0.4 metre pocket. Record results for 8/16/32 ml/hour flow rates. Unable to reach equilibrium pressure for 80ml/hour. |
|
20 Oct |
Another attempt at 80ml/hour fails, so set 48ml/hour. Abandon before reaching a steady state. Record again results for 16 & 32 ml/hour flow rates. |
|
20 Oct |
Slide probe down to bottom of hole to make a zero length pocket. record results for 4.8 and 8ml/hour rates. |
|
21 Oct |
Obtain result for 32ml/hour flow rate in zero length pocket. End of trial, recover instrument. |
Table 2 - Raw results (data prior to the leak being fixed have been omitted)
|
Pocket length (metres) |
Flow rate ml/hour |
Steady state pressure (kPa) |
Remarks |
|---|---|---|---|
|
0 |
4.8 |
49 |
This is second attempt at a zero length pocket |
|
0 |
8 |
59 |
|
|
0 |
16 |
89 |
|
|
Pocket length (metres) |
Flow rate ml/hour |
Steady state pressure (kPa) |
Remarks |
|
0.1 |
3.2 |
38 |
|
|
0.1 |
8 |
50 |
|
|
0.1 |
16 |
75 |
|
|
0.1 |
32 |
185 |
|
|
0.1 |
3.2 |
38 |
Second go, as a check |
|
Pocket length (metres) |
Flow rate ml/hour |
Steady state pressure (kPa) |
Remarks |
|
0.2 |
3.2 |
15 |
|
|
0.2 |
8 |
21 |
|
|
0.2 |
16 |
46 |
|
|
0.2 |
32 |
93 |
|
|
Pocket length (metres) |
Flow rate ml/hour |
Steady state pressure (kPa) |
Remarks |
|
0.4 |
8 |
10 |
|
|
0.4 |
16 |
21 |
|
|
0.4 |
32 |
39 |
|
|
0.4 |
80 |
230 |
Not a steady state reading |
|
0.4 |
48 |
135 |
Not a steady state reading |
|
0.4 |
16 |
58 |
Second go, as a check |
|
0.4 |
32 |
86 |
Second go, as a check |
Producing results for the coefficient of permeability
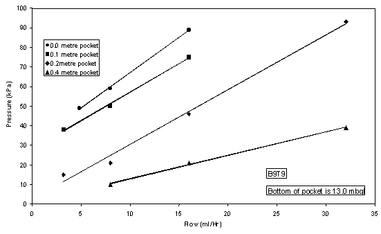
By setting different constant flow rates a range of pressures is discovered. Plotting flow rate against pressure gives a graph whose gradient can be used to derive the coefficient of permeability. Figure 2 shows all the results from these tests plotted on a single graph.
Fig. 2 Flow versus Pressure, all results plotted
Two things are immediately clear from figure 2. The first is that the general trend of slope varying with the geometry is apparent. As the length of the pocket increases the pressure required to maintain a given flow falls. This suggests the procedures are working. The second obvious point is that for some pockets the slope is not constant. Two of the pockets, 0.1 and 0.4 metres indicate a significant decrease in permeability when the pressure required to maintain a given flow approaches 100kPa. If the head of water in the casing is added, about 130kPa, then the total stress being applied is similar to the overburden. It seems that the application of large gradients of pressure to the pocket is changing the structure of the material, and from the evidence of the 0.4metre pocket it seems the changes are irreversible. Above a certain point it may be that the application of water pressure is equivalent to carrying out a cavity expansion, so the observed response is a combination of permeability and consolidation.
The solution of equation [1] assumes a rigid soil skeleton, directional isotropy, no disturbance, swelling, segregation or consolidation of the material. To accord with these assumptions it seems reasonable to consider data of modest pressure gradient only. These are plotted in figure 3.
Fig. 3 Flow versus Pressure, selected data
The slopes of the data in figure 3 are presented in table 3 with the derived permeability coefficients. $m$ , the transformation ratio, is 1 to produce these numbers – this point is commented on below.
Table 3 - Results for coefficient of permeability
|
(metres) |
Shape (x 10-11) |
Slope |
k = shape/slope(m/sec) x 10-11 |
Remarks |
|---|---|---|---|---|
|
0 |
1190 |
3.61 |
330 |
Equation [3] used |
|
0.1 |
441 |
2.91 |
151 |
Equation [2] used |
|
0.2 |
349 |
2.80 |
125 |
Equation [2] used |
|
0.4 |
246 |
1.20 |
206 |
Equation [2] used |
A note on running the tests
In principle a test is run by setting a flow rate on the controller and leaving the system to find a steady state pressure. The system can be left unattended, the only requirement being to refill the syringe. For a 3.2ml/hour flow rate the 30ml syringe will last for nearly 10 hours. The pressure output of the system is logged automatically and displayed on a computer screen as a number and as a plot against time.
In practice progress is accelerated by taking an active role. The controller has an override that allows the syringe to be driven at the maximum speed allowed by the stepper motor. If when driving to a new flow rate the override is activated for a few seconds the system can be made to approach the settling pressure much faster. After releasing the override button the output is allowed to climb at the intended rate for a few readings. If it continues to climb, then the point is not yet reached and the override can be operated again.
Figure 4 gives the observed response for the 0.2metre pocket. The first two flow rates, 3.2 & 8ml/hour are readily established. The next flow rate attempted was 16ml/hour. There is an unmarked plateau on the plot at about 30kPa where the syringe ran out of water. The failed attempt at 16ml takes place the next day – the plot logs only active time when the controller was running. Overnight the pressure in the pocket is the head of water. On the next day the override is activated to increase the pressure by another 35kPa. The controller is then left unattended to find the steady state pressure and fails to do so. The output continues to climb although at a steadily reducing rate. What this may indicate is the interaction of permeability and consolidation, the consequence being a gradual decrease in the permeability of the material.
Fig. 4 Pressure plotted against time
After being allowed to fall back to the column of water pressure a second attempt is made at 16ml/hour the following day. This time the override is used to increase quickly the pressure by 40kPa and an equilibrium pressure is found at 46kPa. Whether this steady state pressure would be maintained indefinitely is unlikely. We suspect consolidation will result in the pressure starting to climb once more – there is a hint of this towards the end of the steady state reading for the 8ml/hour flow rate. Figure 2 indicates the result for 16ml/hour does not follow the trend of the previous two readings, implying a change in the nature of the material.
The ability of the operator to affect the results by the use of the override is unfortunate, but an understanding of why it makes a difference is important.
Considering the results
The result for the zero length pocket is useful because this is the mean coefficient, $\sqrt{k_hk_v}$. The results for the finite length pockets give $\mathit{kh}$. From these results, therefore, the material is more permeable in the vertical direction. A transformation ratio $m$ of 1 has been used to give the numbers in table 3, equivalent to assuming permeability is the same in all orientations. Minimum scatter to all data is obtained if $m$ is taken to be 0.3. This reduces $\mathit{kh}$ values by a factor of 3 and makes $\mathit{kv}$ about 2 x 10-8 m/sec. $\mathit{kv}>\mathit{kh}$ is an unexpected result that may imply an undetected problem with the setup.
The most gratifying aspects of the trial are the simplicity of the arrangement, the ability to check parameters by changing the pocket length and the quantity of data that can be recovered. Unfortunately the SBP was not in good working order, because it would have been useful to carry out a holding test to obtain an independent assessment of the consolidation characteristics of the Gault.
Although not required for this trial, it may be necessary in future to consider inflating the membrane of the SBP to force a seal at the top of the pocket. In addition the pore pressure cells in the membrane of the SBP could be used to detect and measure vertical flow.
One unresolved question is the consequences of unloading the cavity wall when the probe is pulled back. There are pros and cons for this – if excess pore pressures have been generated during drilling the unloading will remove them. However there is likely to be some radial inward movement and a tendency to make the material more permeable around the pocket. To some extent this radial inward movement is resisted by the column of water in the hole, which in the arrangement used in the trial was in excess of the ambient pore pressure conditions.
The solution used is simple and depends on a rigid soil skeleton. Provided the pressure gradients are kept small then the solution appears to give consistent results. However at higher flow rates and gradients the speed at which the steady state pressure point is approached has an influence, and a solution that accounts for consolidation as well as permeability seems to be required.
Any future experiments ought to be at a location where independent data for the soil properties are available.



